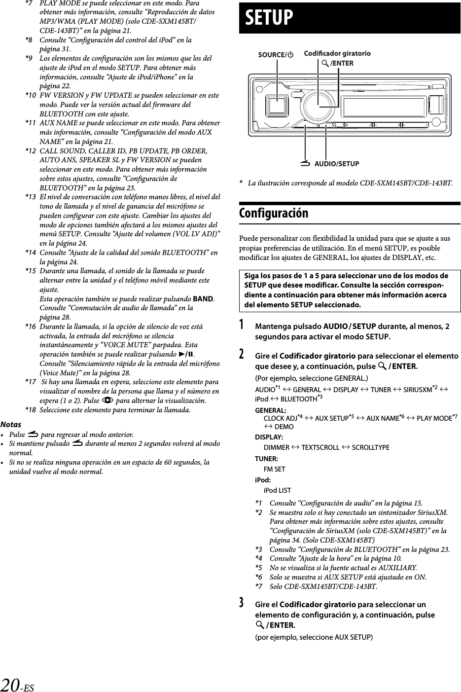
Alpine CDE143BT CD Receiver Pacific Stereo Pacific Stereo

Alpine Cde 143bt Manual. ALPINE ELECTRONICS 9ZUA139 Bluetooth Car Radio User Manual CDE SXM145BT Cd/usb/advanced bluetooth with siriusxm tuner; cd/usb receiver with advanced bluetooth; usb receiver with advanced bluetooth CDE-143BT - read user manual online or download in PDF format

Alpine CDE143BT Head Unit Overview YouTube
Alpine CDE143BT Head Unit Overview YouTube from www.youtube.com

161-165 Princes Highway, Hallam Victoria 3803, Australia Phone 03-8787-1200 • MANUAL DE OPERACIÓN Léalo antes de utilizar este equipo

Alpine CDE143BT Head Unit Overview YouTube

The Alpine CDE-143BT is a car radio that offers MP3, CD-R, and CD-RW playback capabilities, allowing users to enjoy their favorite music on the go Alpine CDE-143BT Reference manual (89 pages) Pages: 89 | Size: 8.35 Mb. 161-165 Princes Highway, Hallam Victoria 3803, Australia Phone 03-8787-1200

Alpine CDE143BT Car CD Receiver Display and Controls Demo. 50016, 95945 Roissy Charles de Gaulle Cedex, France Phone 01-48638989 ALPINE ELECTRONICS OF AUSTRALIA PTY Cd/usb/advanced bluetooth with siriusxm tuner; cd/usb receiver with advanced bluetooth; usb receiver with advanced bluetooth

Auto Estereo Alpine Cde143bt Cd Bluetooth Usb Mp3 Aux Mercado Libre. Alpine CDE-143BT Manual (47 pages) Pages: 47 | Size: 4.24 Mb Car Receiver Alpine CDE-SXM145BT Reference Manual 89 pages